תפריט ניווט
דף הבית
מתמטיקה
אנגלית
עברית
העשרה
לשון
מיצ"ב
אתגרים
הכנה לכיתה א׳
זהירות בדרכים
מבחנים
הירשם/י
איך פותרים?
בחר/י מנוי
בחר/י מנוי
כניסה
התחבר/י באמצעות
התחבר/י באמצעות פייסבוק
- או -
כתובת דוא"ל או כינוי
סיסמה
שכחת את סיסמתך?
כניסה
חדש/ה כאן?
הירשם/י עכשיו
צור קשר
תרגול במתמטיקה
גן חובה
כיתה א'
כיתה ב'
כיתה ג'
כיתה ד'
כיתה ה'
כיתה ו'
כיתה ז'
כיתה ח'
כיתה ט'
בית ספר תיכון
הכנה לבגרות 801
הכנה לבגרות 802 (שאלון 381)
הכנה לבגרות 803 (שאלון 382)
הכנה לבגרות 804 (שאלון 481)
הכנה לבגרות 805 (שאלון 482)
דף הבית
תרגול במתמטיקה
תרגילים במתמטיקה להכנה לבגרות 803 (שאלון 382)
תרגילים במתמטיקה להכנה לבגרות 803 (שאלון 382)
אנו מצטערים, אבל Javascript חייב להיות מופעל בדפדפן שלך כדי להציג את אתר זה כמו שצריך.
אנא הפעל Javascript בדפדפנך.
×
הגדרות
משוב
הצג ציונים
הפעל מצב בוחן
הצג משוב לאחר כל שאלה
כתיבת תשובה
הגבלת זמן
5 שניות
10 שניות
15 שניות
30 שניות
1 דקה
2 דקות
5 דקות
10 דקות
לשאלה
כתיבה ללא הגבלת אורך
המשך אוטומטית לשאלה הבאה
אפשר לענות מחדש על תשובה שגויה
מצב כרטיסי פלאש
שיתוף
צור קישור לשיתוף
העתק קישור
שלח את תוצאות התרגול שלי בדוא"ל
שם השולח
כתובת דוא"ל
×
אנא בחר לפחות נושא אחד מהרשימה.
×
למנויים בלבד
נושא זה למנויים בלבד. אנא בחר מנוי.
×
פירוט
...
חיפוש..
תצוגת רשימה
תצוגת סמלים
מיין לפי
נושא
א׳-ב׳
בחר הכל
לא נמצאו פריטים.
בחר הכל
כמות
כמות שאלות בנושאים
1
5
10
20
50
תפיסה מרחבית
בניית היטל צד אחורי
למנויים
התחל
כמות
5
כמות שאלות
1
3
5
10
20
50
פתרון לדוגמא
בניית היטל צד ימין
למנויים
התחל
כמות
5
כמות שאלות
1
3
5
10
20
50
פתרון לדוגמא
בניית היטל צד שמאל
פתוח
התחל
כמות
5
כמות שאלות
1
3
5
10
20
50
פתרון לדוגמא
היטל על
למנויים
התחל
כמות
5
כמות שאלות
1
3
5
10
20
50
פתרון לדוגמא
היטל צד אחורי
למנויים
התחל
כמות
5
כמות שאלות
1
3
5
10
20
50
פתרון לדוגמא
היטל צד ימין
למנויים
התחל
כמות
5
כמות שאלות
1
3
5
10
20
50
פתרון לדוגמא
היטל צד שמאל
למנויים
התחל
כמות
5
כמות שאלות
1
3
5
10
20
50
פתרון לדוגמא
ראייה מרחבית - תרשים מספרים (מבט מלפנים)
למנויים
התחל
כמות
5
כמות שאלות
1
3
5
10
20
50
פתרון לדוגמא
בחר הכל
כמות
כמות שאלות בנושאים
1
5
10
20
50
חשבון אינטגרלי
אינטגרלים
למנויים
התחל
כמות
5
כמות שאלות
1
3
5
10
20
50
פתרון לדוגמא
חישוב שטח ע"י אינטגרל
למנויים
התחל
כמות
5
כמות שאלות
1
3
5
10
20
50
פתרון לדוגמא
בחר הכל
כמות
כמות שאלות בנושאים
1
5
10
20
50
בחר נושאים
בעיות קיצון - מספרים
למנויים
התחל
כמות
5
כמות שאלות
1
3
5
10
20
50
פתרון לדוגמא
מציאת נקודות קיצון - פונקציות שורש
למנויים
התחל
כמות
5
כמות שאלות
1
3
5
10
20
50
פתרון לדוגמא
נפח של תיבה
למנויים
התחל
כמות
5
כמות שאלות
1
3
5
10
20
50
פתרון לדוגמא
בחר הכל
כמות
כמות שאלות בנושאים
1
5
10
20
50
חשבון דיפרנציאלי
מציאת שיפוע בעזרת נגזרת
למנויים
התחל
כמות
5
כמות שאלות
1
3
5
10
20
50
פתרון לדוגמא
נקודות קיצון של פולינום
למנויים
התחל
כמות
5
כמות שאלות
1
3
5
10
20
50
פתרון לדוגמא
אסימפטוטה אנכית
למנויים
התחל
כמות
5
כמות שאלות
1
3
5
10
20
50
פתרון לדוגמא
משוואת משיק לפונקציה
למנויים
התחל
כמות
5
כמות שאלות
1
3
5
10
20
50
פתרון לדוגמא
נגזרות
למנויים
התחל
כמות
5
כמות שאלות
1
3
5
10
20
50
פתרון לדוגמא
נגזרת של מנה
למנויים
התחל
כמות
5
כמות שאלות
1
3
5
10
20
50
פתרון לדוגמא
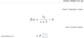
תחום הגדרה
למנויים
התחל
כמות
5
כמות שאלות
1
3
5
10
20
50
פתרון לדוגמא
בחר הכל
כמות
כמות שאלות בנושאים
1
5
10
20
50
תכנון לינארי
שלב 1 - תכנון לינארי - מבוא
למנויים
התחל
כמות
5
כמות שאלות
1
3
5
10
20
50
פתרון לדוגמא
שלב 2 - תכנון לינארי - מבוא
למנויים
התחל
כמות
5
כמות שאלות
1
3
5
10
20
50
פתרון לדוגמא
שלב 3 - פונקציית המטרה
למנויים
התחל
כמות
5
כמות שאלות
1
3
5
10
20
50
פתרון לדוגמא
שלב 4 - מערכת האילוצים
למנויים
התחל
כמות
5
כמות שאלות
1
3
5
10
20
50
פתרון לדוגמא
שלב 5 - נקודות חיתוך
פתוח
התחל
כמות
5
כמות שאלות
1
3
5
10
20
50
פתרון לדוגמא
בחר הכל
כמות
כמות שאלות בנושאים
1
5
10
20
50
גיאומטריה אנליטית
אמצע קטע
פתוח
התחל
כמות
5
כמות שאלות
1
3
5
10
20
50
פתרון לדוגמא
בניית משוואת הישר בעזרת שיפוע ונקודה
למנויים
התחל
כמות
5
כמות שאלות
1
3
5
10
20
50
פתרון לדוגמא
בניית משוואת הישר בעזרת שתי נקודות
למנויים
התחל
כמות
5
כמות שאלות
1
3
5
10
20
50
פתרון לדוגמא
הופכי נגדי
למנויים
התחל
כמות
5
כמות שאלות
1
3
5
10
20
50
פתרון לדוגמא
הנדסה אנליטית
למנויים
התחל
כמות
5
כמות שאלות
1
3
5
10
20
50
פתרון לדוגמא
נקודות חיתוך של ישר עם הצירים
למנויים
התחל
כמות
5
כמות שאלות
1
3
5
10
20
50
פתרון לדוגמא
שטח משולש במערכת הצירים
למנויים
התחל
כמות
5
כמות שאלות
1
3
5
10
20
50
פתרון לדוגמא
בחר הכל
כמות
כמות שאלות בנושאים
1
5
10
20
50
גאומטריה אנליטית - המעגל
משוואת המעגל (בסיס)
למנויים
התחל
כמות
5
כמות שאלות
1
3
5
10
20
50
פתרון לדוגמא
חיתוך מעגל עם הצירים
למנויים
התחל
כמות
5
כמות שאלות
1
3
5
10
20
50
פתרון לדוגמא
המעגל
למנויים
התחל
כמות
5
כמות שאלות
1
3
5
10
20
50
פתרון לדוגמא
נושאים שנבחרו:
0
התחל
נושאים שנבחרו:
0
התחל
נושאים שנבחרו:
0
התחל